Hello Potato World
[포테이토 스터디] Feature Interaction 본문
⋆ 。 ˚ ☁︎ ˚ 。 ⋆ 。 ˚ ☽ ˚ 。 ⋆
[XAI study_ Interpretable Machine Learning]
5.4 Feature Interaction
prediction model 내에서 feature들이 상호작용하는 경우 각각의 feature effect의 합만으로는 예측을 표현할 수 없다.
Linear Regression에서의 예시를 들어 확인해보자.
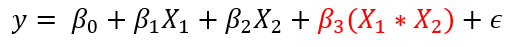
1. 두 개의 feature를 사용하는 linear regression 모델에서 feature interaction이 존재하지 않는 경우


X_1=1, X_2=1일 때의 data를 제외한 나머지 3개의 data를 사용하여 위와 같은 Linear Regression Function의 regression coefficient를 구해보면(error term=0이라고 가정),
- β0=150000, β1=50000, β2=100000
와 같이 구할 수 있고, X_1=1, X_2=1을 적용해보면 300000의 정확한 prediction을 얻을 수 있다. 즉, 단일 특성 효과들의 합만으로 완벽하게 decomposition 가능하다.
2. feature interaction이 존재하는 경우


1번 경우와 동일하게 X_1=1, X_2=1일 때의 data를 제외한 나머지 3개의 data를 사용하여 Linear Regression Function의 regression coefficient를 구해보면(error term=0이라고 가정),
- β0=150000, β1=50000, β2=100000, β3=100000
즉, 각각의 단일 특성 효과들만 적용했을때는 X_1=1, X_2=1일 때의 prediction이 400000이기 때문에 완벽하게 decomposition할 수 없다는 걸 알 수 있고, X_1과 X_2의 interaction term인 β3(X1*X2)가 추가되어야 정확한 예측을 만들 수 있다.
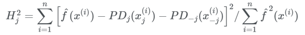
Theory: Friedman's H-statistic
Interaction Strength, 즉 feature interaction이 예측 변동에 얼마나 영향을 주는지 측정하는 측정법
1. 두 특성이 서로 상호작용하는지 여부와 정도를 알려주는 Two-way Interaction measure
- 두 특성이 상호작용하지 않는 경우

- 특성 j와 k 사이의 H-statistic
관찰된 PD값과 상호작용 없는 분해된 PD값의 차이를 측정

2. 한 특성이 다른 모든 특성과 상호작용하는지 여부와 정도를 알려주는 Total Interaction Measure
- 한 특성이 다른 특성들과 상호작용하지 않는 경우

- 특성 j와 나머지 특성들 사이의 H-statistic

Example Results
Example : 자궁경부암의 확률을 예측하는 Random Forest model의 H-statistic

다른 모든 특성들과 높은 상호작용을 가지는 특성 (Top2)
- 호르몬 피임약의 복용 연수(Hormonal Contraceptives years)
- 임신 횟수(Number of Pregnancies)
이후 임신 횟수(Number of Pregnancies)과 다른 특성들 사이의 1:1 상호작용 H-statistic을 분석해보면

임신 횟수 특성과 가장 높은 상호작용을 가지는 특성
- 나이(Age)
Advantages
- 차원과 관계없는 statistic이라서 특성 뿐만 아니라 모델 사이의 interaction도 비교할 수 있음
- 형식에 관계없이 모든 종류의 interaction을 탐지할 수 있음
- 3개 이상의 특성 간의 interaction등의 높은 interaction도 분석할 수 있음
DisAdvantages
- 모든 data에 대해 반복되므로 계산 비용이 큼
- Model-agnostic version 사용 불가능
- H-statistic값이 1보다 크게 나올수 있기 때문에 해석이 어려움
- H-statistic=1인 경우는, single feature PD가 일정하고 prediction이 feature간의 interaction에게만 영향을 받는 경우
References
[1] Interpretable Machine Learning, Christoph Molnar
감자같은 학부생이 일부만 정리하는 리뷰입니다. 더 궁금한 점은 댓글로 물어봐주세요🥔
'Study > XAI' 카테고리의 다른 글
| [포테이토 스터디] Influential Instances (0) | 2021.06.22 |
|---|---|
| [포테이토 스터디] Prototypes and Criticisms (0) | 2021.06.22 |
| [포테이토 스터디] Local Surrogate(LIME) (0) | 2021.05.24 |
| [포테이토 스터디] Global Surrogate (1) | 2021.05.24 |
| [포테이토 스터디] Permutation Feature Importance (0) | 2021.05.22 |